Cynthia Morgan Blasted By Nigerians After Contract With Jude Okoye Surfaces Online
Sensational singer, Cynthia Morgan has been dragged by Nigerians for lying after her contract with Jude Okoye was shared online.
Barely 24 hours ago, Cynthia Morgan shattered the internet with the story of how her former record label boss, Jude Okoye ruined her career. According to her, he stopped her from using her name after she left the record label, locked her out of her VEVO & Instagram account, and also stopped her from getting royalties.
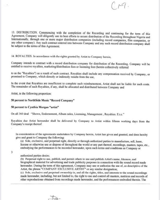
However, Jude Okoye fired back revealing that she owes him over 40 million naira which he never recovered and even went as far as buying a piece of land for her mother and a brand new range rover. In a bid to refute her claims, Joy Tongo, who happens to be her former manager, released a copy of the contract she signed when she was still in the record label. In the contract which was a 360 deal, funds generated from her music were to be split 50/50.
Nigerian who showed her sympathy and even set up a GoFundMe Account to kickstart her comeback have lambasted her for lying about her ordeal. Nigerian Twitter most especially has blown up as fans are totally disappointed in her. Here are some of the epic reactions below:
So Cynthia Morgan lied about losing the rights to her name! She was even got 50:50 of all benefits and royalties. People just dragged Jude Okoye for nothing all over this street!
So Cynthia Morgan lied?
Now Nigerian will never want to help somebody else who is in real mess.
When you open twitter and see so Cynthia Morgan lied ?
But you already donated your last 1k to her GoFund me account
So Cynthia Morgan lied
No they jump to conclusions after u hear one side of the story.see ur life now u don dey delete all the tweet wey u use ur hard earned data tweet
When Cynthia Morgan comes online and sees “So Cynthia Morgan” is trending…
Sinzu Morgan:
‘s other TweetsWhen Cynthia Morgan see the money she received through GoFundMe
.
So Cynthia Morgan
‘s other TweetsSo Cynthia Morgan Lied, She used OUR emotions Against Us, she cheated us Lemao
even you that Contributed nothing but tweets and “Ehyaaa” U opened your Mouth to Call Cynthia Morgan a Liar and a Cheat “Oshey Detective Cheetah”
So cynthia Morgan lied ?
I think this the best time for any record label to sign her No Publicity is bad Publicity …You jusy need to apply some damage control measures
by the way nigerians love Controversy
A case study of Naira Marley !!!
‘s other TweetsSo Cynthia Morgan gave y’all target to reach for her. You guys should complete what y’all started ????.
Lmaooooo pic.twitter.com/0vZBJ3uItZ
— Geek_William_Tobs????? (@Lilslimass_toby) May 26, 2020
So Cynthia Morgan actually used y’all to catch cruise?
Well, i wasn’t wondering tho! cos the easiest way to get Nigerians’ attention is to tell a plain lies story. So pathetic
sO cYnThia MoRgAn lIed
No, you’re the foolish one that always jumps to pass online judgement just from hearing from a side. Always sewing agbada with Twitter thread without any iota of evidence.
You’re getting older. Learn to be slower to judgement. Change your ways.
Cynthia Morgan going to meet Davido in the studio for her own verse, only to see “So Cynthia Morgan” trending on twitter for her ‘lies’…

‘s other TweetsSo Cynthia Morgan lied!
I knew something was fishy on God, the girl just looks like someone you can’t trust whatsoever. So what’s with the emotions and ocean tears?
And so many people came for me when i said the GoFundMe account was a bad idea. Pity Fc
So Cynthia Morgan lied!
I will never take anyone serious on the internet.
So I was just wasting my time
So Cynthia Morgan came here without makeup, lied to us like we were primary school kids, and we all rushed to assembly and dragged Jude Okoye. Let’s forget all these self, shey Davido still has that anthem for her, or we should just proceed to “I pledge to Nigeria my country…”?
Twitter people going to tweet about so Cynthia Morgan trend without even reading a line from the contract
So I’ll try to forget about this Cynthia Morgan matter, but what will happen to Davido’s call now
‘s other TweetsI’m really short of words…
So Cynthia Morgan just use us to catch Cruz and went home with a bag full of cash…















.



















